应变电阻传感器由应变电阻片和测量线路两部分组成,其中应变电阻片感应被测量压力(包括扭矩、荷重、拉力),并在外力作用下产生弹性变形导致电阻值发生改变,它是将力转换成电阻变化的检测元件;测量线路将变化的电阻转换为电信号,实现被测压力的最终指示和信号远传。
应变电阻式传感器的主要优点是结构简单,使用方便,灵敏度高,性能稳定、可靠,测量速度快,适合静态、动态测量。所以被广泛地应用于各种力的测量仪器和科学实验中。
1.电阻应变片的结构
电阻应变片(简称应变片或应变计)种类繁多,形式多样,但其基本构造大体相似。现以常见的丝绕式应变片为例进行说明。
图3-35为丝绕式应变片的结构示意图。它是由敏感栅、基底、覆盖层和引线等部分组成。敏感栅是以直径为0.01~0.05mm的高电阻率的合金电阻丝绕成的。敏感栅常用的材料有铜镍合金(俗称康铜),适用于300℃以下静态测量用;还有镍铬合金及镍铬改良性合金、镍铬铝合金的,适用于450℃以下的静态测量或800℃以下的动态测量用。电阻值一般为120Ω,也有200Ω或300Ω等。

图3-35 电阻应变片结构图
1—基底 2—敏感栅 3—覆盖层 4—引线
敏感栅是应变片的核心部分,其作用是敏感应变的大小。
基底的作用是固定敏感栅,并使敏感栅与弹性元件相互绝缘。基底要将被测体的应变准确地传递到敏感栅上,因此它很薄,一般为0.03~0.06mm,应使它与被测体及敏感栅能牢固地粘接在一起。对基底材料的要求是挠性好,具有一定的机械强度、粘接性能和绝缘性能好,蠕变和滞后小,不吸潮、热稳定性能好等。常用的基底材料有纸、胶膜和玻璃纤维布等。
覆盖层的作用是保护敏感栅使其避免受到机械损伤或防止高温氧化及防潮、防蚀、防损等。覆盖层的材料常采用做基底的胶膜或浸含有机液(例如环氧树脂、酚醛树脂等)的玻璃纤维布,也可以在敏感栅上涂覆制片时所用的胶黏剂作为保护层。
引线是连接敏感栅和测量电路的丝状或带状的金属导线。一般要求引线具有低的稳定的电阻率极小的电阻温度系数。一般采用焊接方便的镀锡软铜线。
2.电阻应变片的工作原理
电阻应变片的工作原理是基于金属的应变效应。金属丝的电阻值随着它所受的机械变形(拉伸或压缩)的大小而发生相应变化的现象称为金属的电阻应变效应。
金属丝的电阻为什么会随着其发生的应变而变化呢?这是因为金属丝的电阻(R=ρL/S)与材料的电阻率ρ及其几何尺寸(长度L和截面积S)有关,金属丝在承受机械变形的过程中,三者都要发生变化,因而引起金属丝的电阻变化。
取一段金属丝如图3-36所示,当金属丝未受力时,原始电阻值为

式中,R为金属丝的电阻;ρ为金属丝的电阻率;L为长度;S为截面积。
当金属丝受到拉力F作用时,将伸长ΔL,横截面积相应减少ΔS,电阻率因金属晶格发生变形等因素的影响也将改变Δρ,从而引起金属丝电阻改变。
对式(3-34)作全微分有

则电阻的相对变化量为

若电阻丝是圆形的,则S=πr2(r为电阻丝的半径),对S微分得dS=2πrdr,则

令金属丝的轴向应变为

金属丝的径向应变为

由材料力学可知,在弹性范围内,金属丝受拉力时,沿轴向伸长、沿径向缩短,那么轴向应变和径向应变之间的关系可表示为
εy=-μεx (3-38)
式中,μ为金属丝材料的泊松系数,负号表示应变方向相反。

图3-36 金属电阻丝受力变形情况
代入式(3-35)可得

定义
为金属电阻丝的灵敏系数。则有

式(3-39)就是应变效应的表达式,它表示了应变电阻丝长度变化与电阻值变化的关系。εx称为应变。
从灵敏系数K0的表达式可以看出,影响K0的有两个因素:(1+2μ)是金属丝几何尺寸发生变化而引起的,其数值为1~2;另一因素是dρ/ρεx,它实际表示了材料的电阻率ρ随应变所产生的变化,称为“压阻效应”。它是由于材料发生变形时,其自由电子的活动能力和数量均发生了变化的缘故。对于大多数电阻丝来说,其值也是常数,而且往往很小,可忽略。式(3-39)说明对于某种金属丝来说,在外力作用下产生的形变与电阻变化直接成比例。
应该指出,将直线金属丝做成敏感栅之后,应变片的灵敏系数K0恒小于同一材料金属丝的灵敏系数,其原因是受到横向效应的影响。因此,K0必须重新实验测定。但实验同时表明,直线金属丝做成栅形的以后,应变片的ΔR/R与εx的关系在很大范围内仍然有很好的线性关系。

图3-37 金属应变片形式
为克服横向效应弊病,实际中金属电阻丝往往做成圆角线栅式或直角线栅式,此外还有利用电子技术中印制电路和集成电路制造技术,用很薄的金属箔片制成的金属箔式应变片,用真空镀膜技术制作的金属薄膜应变片。常见的几种金属应变片形式如图3-37所示。
3.半导体应变片
半导体应变片的工作原理是基于半导体材料的压阻效应。压阻效应是指当半导体材料某一轴向受外力作用时,其电阻率ρ发生变化的现象。能产生明显的压阻效应的材料很多,但半导体材料的这种效应特别显著,能直接反映出很微小的应变。常见的半导体应变片是用锗和硅等半导体材料作为敏感栅,一般为单根状,如图3-38所示。
半导体应变片受轴向力作用时,其电阻相对变化为

式中,
为半导体应变片电阻率的相对变化,其值与半导体敏感条在轴向所受的应力之比为一常数,即

式中,πi为半导体材料的压阻系数,它与半导体材料种类及应力方向与晶轴方向之间的夹角有关。

图3-38 半导体应变片的结构
将式(3-41)代入式(3-40)得

式中,(1+2μ)项随半导体几何形状而变化;πiE项为压阻效应,随电阻率而改变。实验表明,πiE比(1+2μ)大50~70倍,故(1+2μ)可以忽略,因而半导体应变片的灵敏系数为

半导体应变片的电阻很大,可达5~50kΩ。此外,它的频率响应高,时间响应快,响应时间可达10-11s数量级,所以常用半导体应变片制作高频率传感器。总体来说,半导体应变片突出的优点是体积小、灵敏度高、频率响应范围很宽;主要缺点是温度系数大、测量应变时非线性较严重。不过,随着近年来半导体集成电路工艺的迅速发展,相继出现了扩散型、外延型和薄膜型半导体应变片,使其缺陷得到了改善。
4.应变检测电路
应变片将应变转换为电阻的变化,由于电阻的变化在数量上很小,既难以直接精确测量,又不便直接处理,因此,必须通过信号调理电路将应变片电阻的变化转换为电压或电流的变化。其方法一般是采用测量电桥。应变式传感器多采用不平衡电桥电路。电桥的供电可采用直流电源供电或交流电源供电,分别称为直流电桥和交流电桥。

图3-39 直流电桥一般结构
(1)直流电桥
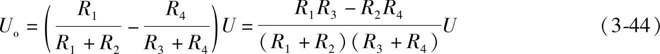
直流电桥的基本形式如图3-39所示。R1、R2、R3和R4为电桥的四个桥臂,当其负载趋于无穷大时,电桥的输出电压Uo应为

当电桥平衡时,Uo=0,则有(https://www.xing528.com)
R1R3=R2R4 (3-45)
式(3-45)为电桥平衡条件。应变片测量电桥在工作前应使电桥平衡,称为预调平衡。
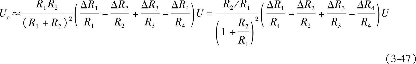
假设电桥中各桥臂电阻均为工作应变片,即电阻值R1、R2、R3和R4都随测量应变发生变化,其阻值的变化量分别为ΔR1、ΔR2、ΔR3和ΔR4电桥的输出将变为

将式(3-46)展开并略去分子及分母中ΔRi的二次侧微量,近似可得

设桥臂电阻比n=R2/R1=R3/R4,则式(3-47)可写成

电桥的电压灵敏度定义为

从式(3-49)可知:
1)电桥的电压灵敏度正比于电桥供电电压U,电桥电压越高,电压灵敏度越高。但是供桥电压的提高受到应变片允许功耗的限制,所以要适当选择。
2)电桥的电压灵敏度是桥臂电阻比n的函数,恰当的选择n的值,可以保证电桥具有较高的灵敏度。
下面分析当供电电压U确定后,n应取何值,电桥电压灵敏度才最大。
由
时,可获得Su的最大值,故得

求得n=1时,Su为最大。
当R1=R2=R3=R4时,为全等臂电桥。全等臂电桥是n=1的一种特例,是应变式传感器常采用的形式。
下面分为单臂、半桥、全桥三种情况讨论。
1)单臂电桥。单臂电桥是指电桥中只有一个臂接入应变片。如图3-40所示,设R1为接入的应变片,工作时R1→R1+ΔR。图3-40中R1=R2=R3=R4=R,ΔR1=ΔR,根据式(3-44)可得

通常情况下
,所以有

式(3-51)中我们是假定应变片的参数变化很小,而忽略了分母中的ΔR/R。但是若应变片所承受的应变很大,分母中的ΔR/R就不能忽略,此时,电桥的输出电压Uo与ΔR/R是非线性的。下面计算非线性误差。

图3-40 单臂电桥
实际上,
,与理想化的线性关系
存在有误差,非线性误差为

将
按幂级数展开,有

略去高次项有

对于金属应变片,其灵敏系数K=2,当承受的应变ε<5000×10-6时,则ΔR/R=Kε=0.01,代入式(3-52)计算得到非线性误差为0.5%,还不算太大。但是,要求测量准确度较高时,或电阻的相对变化ΔR1/R1较大时,非线性误差就不能忽略了。例如半导体应变片的灵敏系数K=100,当应变片承受的应变ε=1000×10-6时,则ΔR1/R1=Kε=0.1,此时电桥的非线性误差将达到5%,所以对半导体应变片的测量电路要做特殊的处理,以减小非线性误差。
2)双臂半桥。双臂半桥是指电桥中只有两个臂接入应变片。如图3-41所示,设R1、R2为接入的应变片,它们接入电桥的相邻两个臂,工作时R1→R1+ΔR1,R2→R2-ΔR2,表示R1臂若受拉应变时,R2臂则受电压应变。图3-39中,R1=R2=R3=R4=R,ΔR1=ΔR2=ΔR,根据式(3-44)可得

电桥的输出电压Uo与ΔR/R呈线性关系,且输出电压跟单臂电桥相比提高了一倍。

图3-41 双臂电桥
3)全桥。电桥中四个臂均接入应变片。工作时R1→R1+ΔR1,R2→R2-ΔR2,R3→R3-ΔR3,R4→R4+ΔR4,如图3-42所示。R1、R4臂若受拉应变时,R2、R3臂则受电压应变。图中R1=R2=R3=R4=R,ΔR1=ΔR2=ΔR3=ΔR4=ΔR,根据式(3-44)可得

电桥的输出电压Uo与ΔR/R呈线性关系,且输出电压为单臂电桥的四倍。另外,全桥和半桥工作还能起到温度补偿的作用。

图3-42 全桥
(2)交流电桥
交流电桥的一般形式如图3-43所示。

图3-43 交流电桥的结构
供桥电源为交流电源,由于引线分布电容,使得桥臂呈现复阻抗特性,因此以复阻抗Z1~Z4代替直流电桥臂上的R1~R4,以复数
代替U,分析方法和直流电桥完全相同。电桥的输出电压
Uo为

其平衡条件为

即交流电桥满足:相对臂阻抗模的乘积必须相等,相对臂阻抗角的和必须相等。
5.应变电阻式压力传感器
应变式压力传感器主要用于液体、气体动态和静态压力的测量,如内燃机管道和动力设备管道的进气口、出气口气体和液体的压力测量,以及发动机喷口的压力,枪口、炮管内部压力的测量等。
当被测压力较大时,多采用筒式压力传感器,如图3-44a所示。圆孔内有一盲孔,一端有法兰盘与被测系统连接。被测压力P进入应变筒的腔内,使筒发生变形。圆筒外表面上的环向应变(沿着圆周线)为

式中,n=D0/D。
若壁比较薄时,可用下式计算环向应变,即

式中,h=(D-D0)/2。
图3-44b中在盲孔的外端部有一个实心部分,制作传感器时,在筒壁和端部沿圆周方向各贴一片应变片,端部在筒内有压力时不产生变形,只作温度补偿用。图3-44c中没有端部,则R1和R2垂直粘贴,一个沿圆周,一个沿筒长,沿筒长方向的R2作温度补偿用。

图3-44 筒式压力传感器
这类传感器可用来测量机床液压系统的压力(106~107Pa),也可用来测量枪炮的膛内压力(108Pa),其动特性和灵敏度主要由材料的E值和尺寸决定。
免责声明:以上内容源自网络,版权归原作者所有,如有侵犯您的原创版权请告知,我们将尽快删除相关内容。
